PartMC  2.8.0
Data Types | Functions/Subroutines | Variables
pmc_scenario Module Reference

The scenario_t structure and associated subroutines. More...

Data Types

type  scenario_t
 Scenario data. More...
 

Functions/Subroutines

subroutine scenario_init_env_state (scenario, env_state, time)
 Initialize the time-dependent contents of the environment. Thereafter scenario_update_env_state() should be used. More...
 
subroutine scenario_update_env_state (scenario, env_state, time)
 Update time-dependent contents of the environment. scenario_init_env_state() should have been called at the start. More...
 
subroutine scenario_update_gas_state (scenario, delta_t, env_state, old_env_state, gas_data, gas_state)
 Do gas emissions and background dilution. More...
 
subroutine scenario_update_aero_state (scenario, delta_t, env_state, old_env_state, aero_data, aero_state, n_emit, n_dil_in, n_dil_out, allow_doubling, allow_halving)
 Do emissions and background dilution for a particle aerosol distribution. More...
 
subroutine scenario_update_aero_binned (scenario, delta_t, env_state, old_env_state, bin_grid, aero_data, aero_binned)
 Do emissions and background dilution from the environment for a binned aerosol distribution. More...
 
real(kind=dp) function scenario_loss_rate (scenario, vol, density, aero_data, env_state)
 Evaluate a loss rate function. More...
 
real(kind=dp) function scenario_loss_rate_dry_dep (vol, density, aero_data, env_state)
 Compute and return the dry deposition rate for a given particle. All equations used here are written in detail in the file doc/deposition/deposition.tex. More...
 
real(kind=dp) function scenario_loss_rate_max (scenario, vol, aero_data, env_state)
 Compute and return the max loss rate function for a given volume. More...
 
subroutine scenario_loss_rate_bin_max (scenario, bin_grid, aero_data, env_state, loss_max)
 Compute an upper bound on the maximum kernel value for each bin. Value over_scale is multiplied to the maximum sampled value to get the upper bound. A tighter bound may be reached if over_scale is smaller, but that also risks falling below a kernel value. More...
 
subroutine scenario_particle_loss (scenario, delta_t, aero_data, aero_state, env_state)
 Performs stochastic particle loss for one time-step. If a particle i_part has a scenario_loss_rate() value of rate, then the probability p will be removed by this function is 1 - exp(-delta_t*rate). Uses an accept-reject algorithm for efficiency, in which a particle is first sampled with rate 1 - exp(-delta_t*over_rate) and then accepted with rate (1 - exp(-delta_t*rate))/(1 - exp(-delta_t*over_rate)). More...
 
subroutine scenario_try_single_particle_loss (scenario, delta_t, aero_data, aero_state, env_state, i_part, over_prob)
 Test a candidate particle to see if it should be removed, and remove if necessary. Particle is removed with probability (1d0 - exp(-delta_t*rate))/over_prob, where rate is the loss function evaluated for the given particle. More...
 
elemental logical function scenario_contains_aero_mode_type (scenario, aero_mode_type)
 Whether any of the contained aerosol modes are of the given type. More...
 
integer function pmc_mpi_pack_size_scenario (val)
 Determines the number of bytes required to pack the given value. More...
 
subroutine pmc_mpi_pack_scenario (buffer, position, val)
 Packs the given value into the buffer, advancing position. More...
 
subroutine pmc_mpi_unpack_scenario (buffer, position, val)
 Unpacks the given value from the buffer, advancing position. More...
 

Variables

integer, parameter scenario_loss_function_invalid = 0
 Type code for an undefined or invalid loss function. More...
 
integer, parameter scenario_loss_function_none = 1
 Type code for a zero loss function. More...
 
integer, parameter scenario_loss_function_constant = 2
 Type code for a constant loss function. More...
 
integer, parameter scenario_loss_function_volume = 3
 Type code for a loss rate function proportional to particle volume. More...
 
integer, parameter scenario_loss_function_drydep = 4
 Type code for a loss rate function based on dry deposition. More...
 
integer, parameter scenario_loss_function_chamber = 5
 Type code for a loss rate function for chamber experiments. More...
 
real(kind=dp), parameter scenario_loss_alg_threshold = 1.0d0
 Parameter to switch between algorithms for particle loss. A value of 0 will always use the naive algorithm, and a value of 1 will always use the accept-reject algorithm. More...
 

Detailed Description

The scenario_t structure and associated subroutines.

Function/Subroutine Documentation

◆ pmc_mpi_pack_scenario()

subroutine pmc_scenario::pmc_mpi_pack_scenario ( character, dimension(:), intent(inout)  buffer,
integer, intent(inout)  position,
type(scenario_t), intent(in)  val 
)

Packs the given value into the buffer, advancing position.

Parameters
[in,out]bufferMemory buffer.
[in,out]positionCurrent buffer position.
[in]valValue to pack.

Definition at line 1062 of file scenario.F90.

◆ pmc_mpi_pack_size_scenario()

integer function pmc_scenario::pmc_mpi_pack_size_scenario ( type(scenario_t), intent(in)  val)

Determines the number of bytes required to pack the given value.

Parameters
[in]valValue to pack.

Definition at line 1006 of file scenario.F90.

◆ pmc_mpi_unpack_scenario()

subroutine pmc_scenario::pmc_mpi_unpack_scenario ( character, dimension(:), intent(inout)  buffer,
integer, intent(inout)  position,
type(scenario_t), intent(inout)  val 
)

Unpacks the given value from the buffer, advancing position.

Parameters
[in,out]bufferMemory buffer.
[in,out]positionCurrent buffer position.
[in,out]valValue to pack.

Definition at line 1121 of file scenario.F90.

◆ scenario_contains_aero_mode_type()

elemental logical function pmc_scenario::scenario_contains_aero_mode_type ( type(scenario_t), intent(in)  scenario,
integer, intent(in)  aero_mode_type 
)

Whether any of the contained aerosol modes are of the given type.

Parameters
[in]scenarioScenario data.
[in]aero_mode_typeAerosol mode type to test for.

Definition at line 752 of file scenario.F90.

◆ scenario_init_env_state()

subroutine pmc_scenario::scenario_init_env_state ( type(scenario_t), intent(in)  scenario,
type(env_state_t), intent(inout)  env_state,
real(kind=dp), intent(in)  time 
)

Initialize the time-dependent contents of the environment. Thereafter scenario_update_env_state() should be used.

Parameters
[in]scenarioScenario data.
[in,out]env_stateEnvironment state to update.
[in]timeCurrent time (s).

Definition at line 110 of file scenario.F90.

◆ scenario_loss_rate()

real(kind=dp) function pmc_scenario::scenario_loss_rate ( type(scenario_t), intent(in)  scenario,
real(kind=dp), intent(in)  vol,
real(kind=dp), intent(in)  density,
type(aero_data_t), intent(in)  aero_data,
type(env_state_t), intent(in)  env_state 
)

Evaluate a loss rate function.

Parameters
[in]scenarioScenario data.
[in]volVolume of particle (m^3).
[in]densityDensity of particle (kg/m^3).
[in]aero_dataAerosol data.
[in]env_stateEnvironment state.

Definition at line 398 of file scenario.F90.

◆ scenario_loss_rate_bin_max()

subroutine pmc_scenario::scenario_loss_rate_bin_max ( type(scenario_t), intent(in)  scenario,
type(bin_grid_t), intent(in)  bin_grid,
type(aero_data_t), intent(in)  aero_data,
type(env_state_t), intent(in)  env_state,
real(kind=dp), dimension(bin_grid_size(bin_grid)), intent(out)  loss_max 
)

Compute an upper bound on the maximum kernel value for each bin. Value over_scale is multiplied to the maximum sampled value to get the upper bound. A tighter bound may be reached if over_scale is smaller, but that also risks falling below a kernel value.

Parameters
[in]scenarioScenario data.
[in]bin_gridBin_grid.
[in]aero_dataAerosol data.
[in]env_stateEnvironment state.
[out]loss_maxMaximum loss vals.

Number of sample points per bin.

Over-estimation scale factor parameter.

Definition at line 580 of file scenario.F90.

◆ scenario_loss_rate_dry_dep()

real(kind=dp) function pmc_scenario::scenario_loss_rate_dry_dep ( real(kind=dp), intent(in)  vol,
real(kind=dp), intent(in)  density,
type(aero_data_t), intent(in)  aero_data,
type(env_state_t), intent(in)  env_state 
)

Compute and return the dry deposition rate for a given particle. All equations used here are written in detail in the file doc/deposition/deposition.tex.

Parameters
[in]volParticle volume (m^3).
[in]densityParticle density (kg m^-3).
[in]aero_dataAerosol data.
[in]env_stateEnvironment state.

Definition at line 444 of file scenario.F90.

◆ scenario_loss_rate_max()

real(kind=dp) function pmc_scenario::scenario_loss_rate_max ( type(scenario_t), intent(in)  scenario,
real(kind=dp), intent(in)  vol,
type(aero_data_t), intent(in)  aero_data,
type(env_state_t), intent(in)  env_state 
)

Compute and return the max loss rate function for a given volume.

Parameters
[in]scenarioScenario data.
[in]volParticle volume (m^3).
[in]aero_dataAerosol data.
[in]env_stateEnvironment state.

Number of density sample points.

Definition at line 543 of file scenario.F90.

◆ scenario_particle_loss()

subroutine pmc_scenario::scenario_particle_loss ( type(scenario_t), intent(in)  scenario,
real(kind=dp), intent(in)  delta_t,
type(aero_data_t), intent(in)  aero_data,
type(aero_state_t), intent(inout)  aero_state,
type(env_state_t), intent(in)  env_state 
)

Performs stochastic particle loss for one time-step. If a particle i_part has a scenario_loss_rate() value of rate, then the probability p will be removed by this function is 1 - exp(-delta_t*rate). Uses an accept-reject algorithm for efficiency, in which a particle is first sampled with rate 1 - exp(-delta_t*over_rate) and then accepted with rate (1 - exp(-delta_t*rate))/(1 - exp(-delta_t*over_rate)).

Parameters
[in]scenarioScenario data.
[in]delta_tTime increment to update over.
[in]aero_dataAerosol data.
[in,out]aero_stateAerosol state.
[in]env_stateEnvironment state.

Definition at line 626 of file scenario.F90.

◆ scenario_try_single_particle_loss()

subroutine pmc_scenario::scenario_try_single_particle_loss ( type(scenario_t), intent(in)  scenario,
real(kind=dp), intent(in)  delta_t,
type(aero_data_t), intent(in)  aero_data,
type(aero_state_t), intent(inout)  aero_state,
type(env_state_t), intent(in)  env_state,
integer, intent(in)  i_part,
real(kind=dp), intent(in)  over_prob 
)

Test a candidate particle to see if it should be removed, and remove if necessary. Particle is removed with probability (1d0 - exp(-delta_t*rate))/over_prob, where rate is the loss function evaluated for the given particle.

Parameters
[in]scenarioScenario data.
[in]delta_tTime increment to update over.
[in]aero_dataAerosol data.
[in,out]aero_stateAerosol state.
[in]env_stateEnvironment state.
[in]i_partIndex of particle to attempt removal
[in]over_probOverestimated removal probability used previously

Definition at line 711 of file scenario.F90.

◆ scenario_update_aero_binned()

subroutine pmc_scenario::scenario_update_aero_binned ( type(scenario_t), intent(in)  scenario,
real(kind=dp), intent(in)  delta_t,
type(env_state_t), intent(in)  env_state,
type(env_state_t), intent(in)  old_env_state,
type(bin_grid_t), intent(in)  bin_grid,
type(aero_data_t), intent(in)  aero_data,
type(aero_binned_t), intent(inout)  aero_binned 
)

Do emissions and background dilution from the environment for a binned aerosol distribution.

See scenario_update_gas_state() for a description of the model.

Parameters
[in]scenarioScenario data.
[in]delta_tTime increment to update over.
[in]env_stateCurrent environment.
[in]old_env_statePrevious environment.
[in]bin_gridBin grid.
[in]aero_dataAero data values.
[in,out]aero_binnedAero binned to update.

Definition at line 349 of file scenario.F90.

◆ scenario_update_aero_state()

subroutine pmc_scenario::scenario_update_aero_state ( type(scenario_t), intent(in)  scenario,
real(kind=dp), intent(in)  delta_t,
type(env_state_t), intent(in)  env_state,
type(env_state_t), intent(in)  old_env_state,
type(aero_data_t), intent(in)  aero_data,
type(aero_state_t), intent(inout)  aero_state,
integer, intent(out)  n_emit,
integer, intent(out)  n_dil_in,
integer, intent(out)  n_dil_out,
logical, intent(in)  allow_doubling,
logical, intent(in)  allow_halving 
)

Do emissions and background dilution for a particle aerosol distribution.

See scenario_update_gas_state() for a description of the model. We additionally scale the number concentration to account for temperature changes.

Parameters
[in]scenarioScenario data.
[in]delta_tTime increment to update over.
[in]env_stateCurrent environment.
[in]old_env_statePrevious environment.
[in]aero_dataAero data values.
[in,out]aero_stateAero state to update.
[out]n_emitNumber of emitted particles.
[out]n_dil_inNumber of diluted-in particles.
[out]n_dil_outNumber of diluted-out particles.
[in]allow_doublingWhether to allow doubling of the population.
[in]allow_halvingWhether to allow halving of the population.

Definition at line 259 of file scenario.F90.

◆ scenario_update_env_state()

subroutine pmc_scenario::scenario_update_env_state ( type(scenario_t), intent(in)  scenario,
type(env_state_t), intent(inout)  env_state,
real(kind=dp), intent(in)  time 
)

Update time-dependent contents of the environment. scenario_init_env_state() should have been called at the start.

Parameters
[in]scenarioScenario data.
[in,out]env_stateEnvironment state to update.
[in]timeCurrent time (s).

Ambient water vapor pressure (Pa).

Ambient pressure (Pa)

Ambient temperature (K)

Definition at line 133 of file scenario.F90.

◆ scenario_update_gas_state()

subroutine pmc_scenario::scenario_update_gas_state ( type(scenario_t), intent(in)  scenario,
real(kind=dp), intent(in)  delta_t,
type(env_state_t), intent(in)  env_state,
type(env_state_t), intent(in)  old_env_state,
type(gas_data_t), intent(in)  gas_data,
type(gas_state_t), intent(inout)  gas_state 
)

Do gas emissions and background dilution.

Emissions are given as an areal rate $e(t)$, and then divided by the current box height $h(t)$ to obtain a volume rate. There is also a dimensionless rate scaling $r(t)$. All input functions are asusumed constant over the timestep, so the concentration $c(t)$ change is given by

\[ c(t) = c(0) + \frac{r t}{h} e. \]

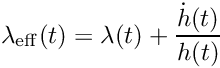
We model dilution by considering a gas concentration $c(t)$ in a box of height $h(t)$, subject to first-order dilution with a rate $\lambda(t)$. Then the effective dilution rate is

\[ \lambda_{\rm eff}(t) = \lambda(t) + \frac{\dot{h}(t)}{h(t)} \]

and the evolution of $c(t)$ is given by

\[ \dot{c}(t) = - \lambda_{\rm eff}(t) c(t). \]

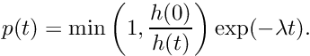
Solving this with separation of variables gives

\[ \frac{c(t)}{c(0)} = \frac{h(0)}{h(t)} \exp\left( - \int_0^t \lambda(t)\,dt\right). \]

If we define $p = c(t)/c(0)$ to be the remaining proportion of the initial concentration, and $b$ to be the constant background concentration, then we have

\[ c(t) = p(t) c(0) + (1 - p(t)) b. \]

We assume constant $\lambda$ and we only do entrainment with increasing height $h(t)$, so we have

\[ p(t) = \min\left(1, \frac{h(0)}{h(t)}\right) \exp(-\lambda t). \]

Parameters
[in]scenarioScenario data.
[in]delta_tTime increment to update over.
[in]env_stateCurrent environment.
[in]old_env_statePrevious environment.
[in]gas_dataGas data values.
[in,out]gas_stateGas state to update.

Definition at line 207 of file scenario.F90.

Variable Documentation

◆ scenario_loss_alg_threshold

real(kind=dp), parameter pmc_scenario::scenario_loss_alg_threshold = 1.0d0

Parameter to switch between algorithms for particle loss. A value of 0 will always use the naive algorithm, and a value of 1 will always use the accept-reject algorithm.

Definition at line 41 of file scenario.F90.

◆ scenario_loss_function_chamber

integer, parameter pmc_scenario::scenario_loss_function_chamber = 5

Type code for a loss rate function for chamber experiments.

Definition at line 36 of file scenario.F90.

◆ scenario_loss_function_constant

integer, parameter pmc_scenario::scenario_loss_function_constant = 2

Type code for a constant loss function.

Definition at line 30 of file scenario.F90.

◆ scenario_loss_function_drydep

integer, parameter pmc_scenario::scenario_loss_function_drydep = 4

Type code for a loss rate function based on dry deposition.

Definition at line 34 of file scenario.F90.

◆ scenario_loss_function_invalid

integer, parameter pmc_scenario::scenario_loss_function_invalid = 0

Type code for an undefined or invalid loss function.

Definition at line 26 of file scenario.F90.

◆ scenario_loss_function_none

integer, parameter pmc_scenario::scenario_loss_function_none = 1

Type code for a zero loss function.

Definition at line 28 of file scenario.F90.

◆ scenario_loss_function_volume

integer, parameter pmc_scenario::scenario_loss_function_volume = 3

Type code for a loss rate function proportional to particle volume.

Definition at line 32 of file scenario.F90.